BITCOIN NODE
blockchain bitcoin tdd broadcasting
BITCOIN NODE

Bitcoin Node 를 구현하는 Toy Project 이다. 프로젝트의 본질은 비트코인 네트워크의 일원(Node)이 되는 것이다.
기본적으로 Node, Peer, Broadcasting 의미를 알아야 한다.

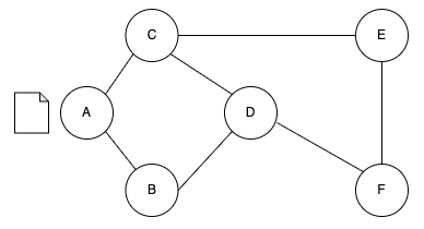
노드(Node) A 에게 피어(Peer) B, C 이다. 그리고 A 가 생성한 데이터는 각 피어에게 전달되고, 전달된 피어들이 또 자신의 피어들에게 전달하게되어 궁극적으로 모든 노드에게 전달된다. 이를 브로드캐스팅(Broadcasting) 이라고 한다. 블록체인에서 모든 노드는 결과적으로 동일한 데이터를 갖게 된다.